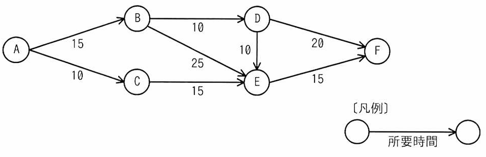
あるプロジェクトの作業間の関係と所要時間がアローダイアグラムで示されている。
このアローダイアグラムのBからEの四つの結合点のうち、工程全体の完了時間に影響を与えることなく、その結合点から始まる全ての作業の開始を最も遅らせることができるものはどれか。ここで、各結合点から始まる作業は、その結合点に至る作業が全て完了するまで開始できず、作業から次の作業への段取り時間は考えないものとする。

ア B
イ C
ウ D
エ E
※出典:ITパスポート試験 令和6年度 問41
あるプロジェクトの作業間の関係と所要時間がアローダイアグラムで示されている。
このアローダイアグラムのBからEの四つの結合点のうち、工程全体の完了時間に影響を与えることなく、その結合点から始まる全ての作業の開始を最も遅らせることができるものはどれか。ここで、各結合点から始まる作業は、その結合点に至る作業が全て完了するまで開始できず、作業から次の作業への段取り時間は考えないものとする。

ア B
イ C
ウ D
エ E
※出典:ITパスポート試験 令和6年度 問41
GoodMorning!
デジタルの海原を冒険しながら、美食の宝を探し求める探検家です。テクノロジーの世界を舞台に、新しい発見を求めて、キーボードの海を横断。そして、実世界では、隅々まで足を運んで、舌鼓を打つ価値のある美味しいお店を見つけ出します。
私の使命は、小さなITの豆知識から始まり、心を満たすグルメスポットの紹介まで、あなたの日常にちょっとしたスパイスを加えること。画面の向こう側から、気軽に楽しめる話題を届けたいのです。ここでは、私が「これは!」と思った技術的な小話や、舌の記憶に残るような食べ物屋さんを紹介していきます。
このWebサイトは、ITとグルメ、二つの世界を融合させた、まさにデジタルと現実の融合点。ふらっと立ち寄って、新たな発見や、ほっこりするような話題で一息ついていただけたら幸いです。知識の海を冒険し、味覚の旅を楽しみましょう。毎日を少しだけ特別なものに変える、そんな情報をお届けします。
GoodMorning!
I am an explorer who ventures across the digital sea in search of gastronomic treasures. In the world of technology, I traverse the sea of keyboards in search of new discoveries. And in the real world, I visit every nook and cranny to find a delicious restaurant worth tantalizing your taste buds.
My mission is to add a little spice to your everyday life, starting with little IT tidbits and ending with foodie spots that fill your heart. I want to bring you topics that you can easily enjoy from the other side of the screen. Here, I'm going to share with you some of the technical tidbits and I will introduce small technical stories and food shops that will leave a lasting impression on your taste buds.
This Web site is truly a fusion point of digital and reality, combining the two worlds of IT and gourmet. I hope you will stop by and take a breather with new discoveries and dusty topics. Come explore the sea of knowledge and enjoy a journey of taste. I will bring you the information that will change your everyday life into something a little more special.